epoll 实现原理
红黑树 和 队列
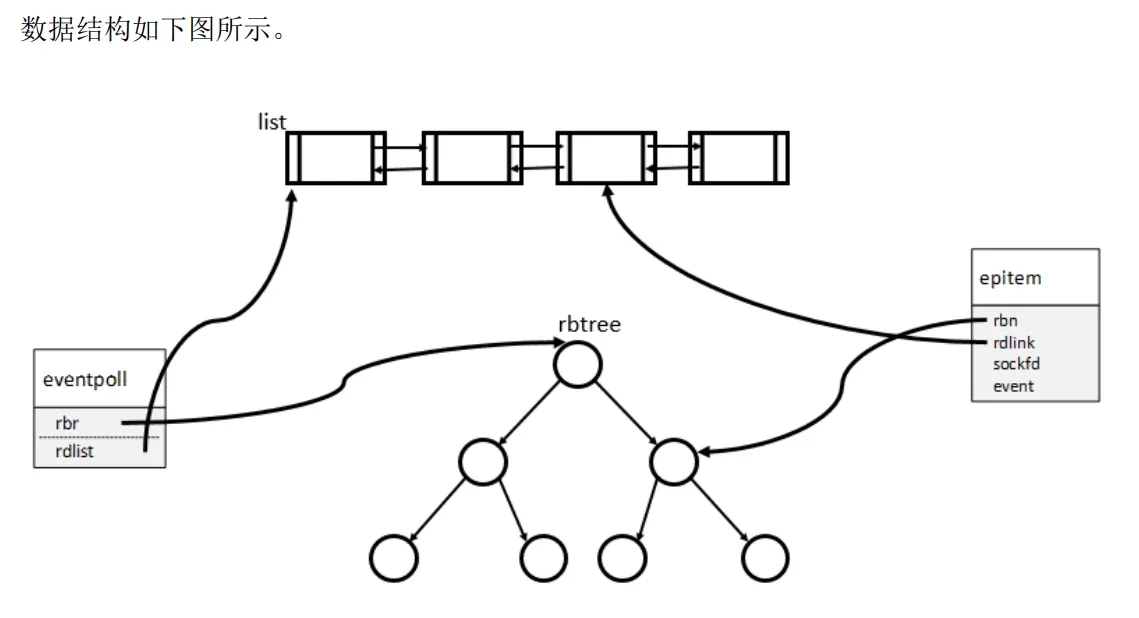
‘2 + 2’ : 两个结构体, 两个数据结构
epitem 结构体 : 描述每一个节点 (既是红黑树的节点, 又是就绪队列的节点)
- 即使添加到就绪队列, 也没有从整集中移除 --->
节点由红黑树和队列共用
eventpoll 结构体 : 整集, 描述整棵红黑树
rbr: 红黑树 根节点rdlist: 就绪队列首节点

看上去 List 和 RB tree 是两个数据结构, 实则二者的节点是共用的

epoll_create / ctl / wait 分别实现
epoll 函数 : ‘3 + 1’
- 三个对外的接口
- 一个对内 — epoll_callback
epoll_create
- 创建一个
struct eventpoll - 为
epollevent这个结构体分配一个epfd
epoll_ctl
- DD : 如果事件存在, 直接返回 (已存在)

-
DEL : 如果存在, 直接删除, 如果不存在, 返回 (不存在)
-
MOD : 查找, 重新赋值
epoll_wait
参数 :
epfd, event, length, timeout
epoll_callback 的执行时机
当 I/O 设备 (如网卡) 产生硬件中断 -> 内核协议栈 -> 唤醒等待队列中的进程
- 对于 epoll 来说, 就是执行
epoll_callback - 将对应的
epitem节点插入到rdlist就绪队列中
LT vs ET
水平触发 (Level Triggered)
只要就绪队列不为空, epoll_wait 就会一直返回事件
边缘触发 (Edge Triggered)
只有状态发生变化时, epoll_wait 才返回一次事件
- 要求 : 必须一次性读完 (while 循环 read 直到 EAGAIN)
- 优点 : 减少了
epoll_wait的调用次数, 效率更高
timeout < 0 —> 一直等待
pthread_cond_wait()
- 就绪队列非空的时候
pthread_cond_signal()唤醒一下
timeout != 0 —> 等待固定长度事件
pthread_cond_timedwait()
timeout == 0 —> 不用等待, 立刻返回
协议栈如何通知到 epoll 模块
epoll 函数: ‘3 + 1’

epoll_callback
- 三次握手完成时, 调用一次:
epoll_event_callback(table->ep, listener->fd, EPOLLIN)通知: listenfd 触发一个 EPOLLIN 事件
- 数据来临时 (PSH 包), 调用一次
- 通知 fd 触发一个 EPOLLIN
- 接收到 FIN 包的时候, 调用一次
- 通知 fd 触发一个 EPOLLIN